Wirkleistungsregler
Die Wirkleistungsregelung einer Erzeugungsanlage wird über die Parameter der Gruppe ActivePower konfiguriert (siehe ActivePower). Sie passt sich flexibel an die Charakteristik der angeschlossenen Erzeugungseinheiten an und erfüllt die Anforderungen aus VDE-, sowie EN-Normen.
Initialisierung
Der Regler wird durch Setzen von bEnable = TRUE in den Control Eingangs-Prozessdaten aktiviert (siehe DataAreas).
Beim Start werden alle Integratorzustände und Filter auf die aktuellen Eingangswerte angepasst bzw. zurückgesetzt, um einen sauberen Regelbeginn zu gewährleisten.
Begrenzung der Wirkleistung
Die maximal verfügbare Wirkleistung der angeschlossenen Erzeugungsanlage (EZA) wird in zwei Stufen definiert:
- Statisch über Parameter:
ActiveMaximum,ActiveMinimum - Werte in [%] relativ zur Anlagenleistung, mit Vorzeichen gemäß dem Erzeuger-Zählpfeilsystem.
- Dynamisch über Sollwert-Eingänge (Targets):
- Zwei separate externe Sollwerteingänge können zur dynamischen Begrenzung verwendet werden (z. B. durch Netzbetreiber oder Direktvermarkter).
Frequenzabhängige Leistungsanpassungen
Die nicht deaktivierbare frequenzabhängige Wirkleistungsregelung (ActiveByFrequency) erfolgt gemäß den Vorgaben der VDE 4110/4120 und ist im Kapitel Frequenzabhängige Wirkleistungsanpassung beschrieben.
Die optional zuschaltbare Primärregelleistung (ActiveByPrimary) gemäß VDE-AR-N 4120 wird im Kapitel Frequenzabhängige Primärregelung der Wirkleistung behandelt.
Signalfilterung
Folgende Parameter dienen zur Filterung der gemessenen Wirkleistung:
ActualFilterTime(Default: 10 ms)ActualFilterType(Default: PT1)
Sowie folgende Parameter zur Filterung der gemessenen Frequenz:
FrequencyFilterTime(Default: 10 ms)FrequencyFilterType(Default: PT1)
Reglerstruktur
Der Wirkleistungsregler ist als klassischer PI-Regler aufgebaut:
ControlGain: VerstärkungControlIntegration: Integrationszeitkonstante
Prädiktive Regelung (Optional)
Die typische dynamische Reaktion einer EZA gemäß VDE kann durch ein einfaches PT1-Verhalten mit Kennwerten der Verzögerungszeit und Totzeit beschrieben werden. Wenn die tatsächliche Streckencharakteristik der Anlage bekannt ist, kann das Regelverhalten durch folgende Parameter verbessert werden.
PredictDeadtime: Abbildung der Totzeit der StreckePredictFilterTime: Abbildung der PT1-Verzögerung
Diese Werte werden vom PI-Regler berücksichtigt, um das Einschwingverhalten zu optimieren – insbesondere bei Anlagen mit signifikanter Totzeit im Vergleich zur Regelstrecke.
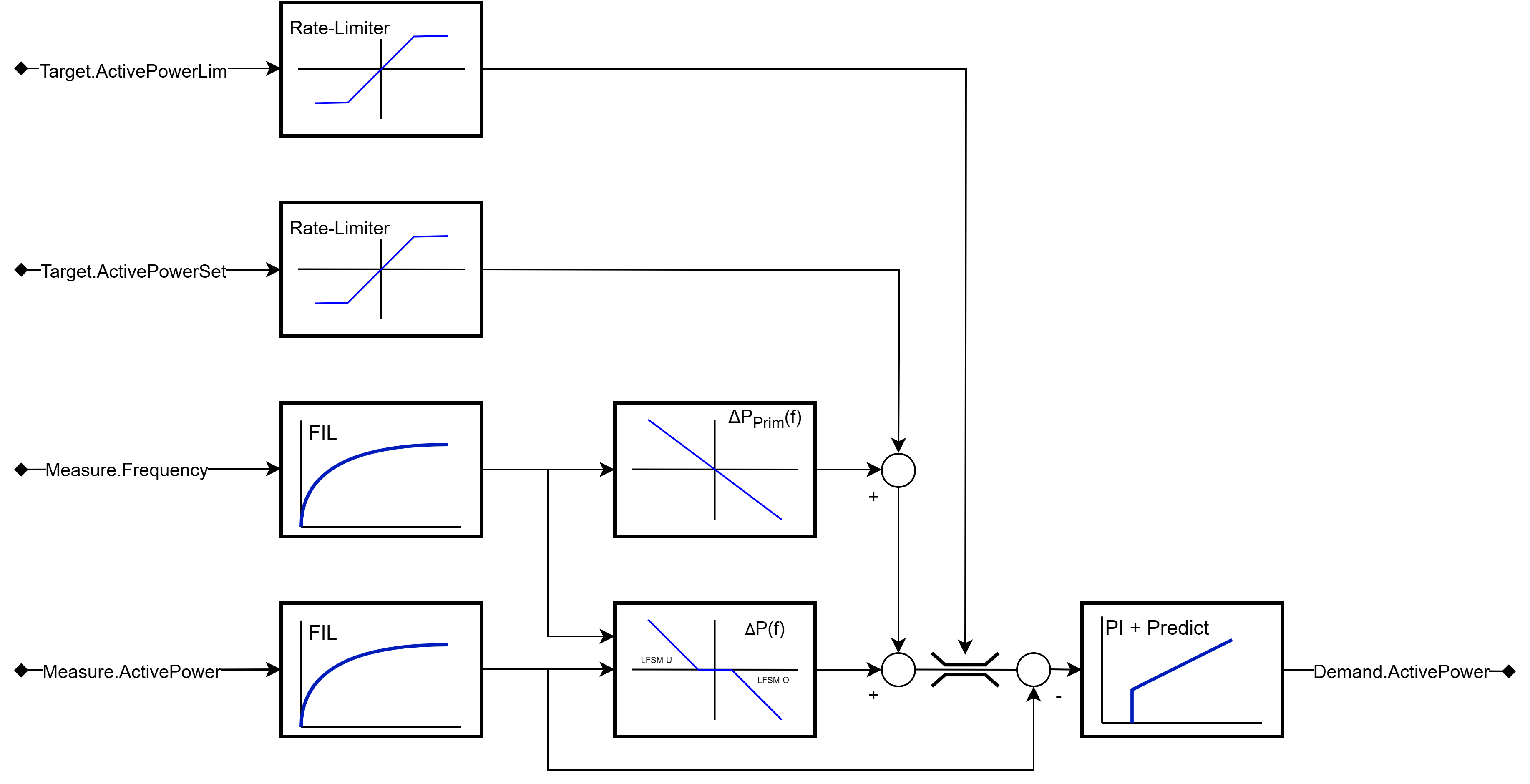
Blockschaltbild
Die folgende Abbildung zeigt den prinzipiellen Aufbau des Wirkleistungsreglers:
