XTS Movement Analysis

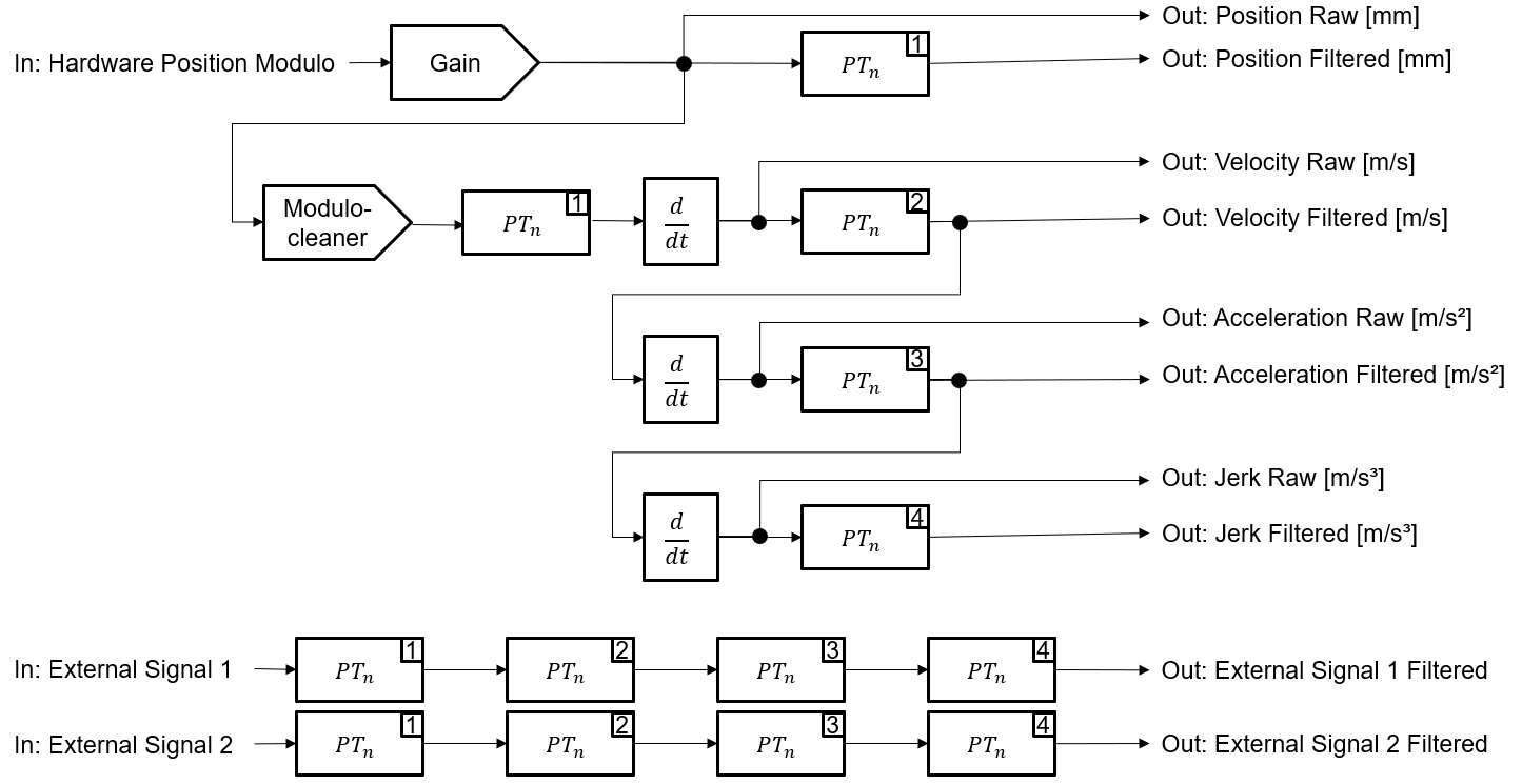
Der XTS Movement Analysis berechnet die Position, die Geschwindigkeit, die Beschleunigung sowie den Ruck eines XTS-Movers. Dafür werden zur Glättung des Signals verschiedene Filterstufen verkettet. Um auch weitere, zugehörige Signale analysieren zu können, ermöglicht das Modul die Filterung von zwei weiteren Signalen mit den gleichen Filterstufen.

Optional kann ein boolesches Signal für den Eingang Enable Execution ausgewählt werden, sodass der Algorithmus nur aktiv ist, wenn der Wert des ausgewählten Signals TRUE ist.
Konfigurationsoptionen
- XTS Length [mm]: Länge des gegebenen XTS-Systems in Millimetern.
- Hardware Pos Factor: Faktor, um das Eingangssignal in mm zu skalieren.
- Sample Rate: Abtastrate (Samples pro Sekunde) des Eingangssignals.
- Filter Time Constant (pos): Filterordnung und Filterzeitkonstante des PTn-Filters zur Berechnung der Position.
- Filter Time Constant (vel): Filterordnung und Filterzeitkonstante des PTn-Filters zur Berechnung der Geschwindigkeit.
- Filter Time Constant (acc): Filterordnung und Filterzeitkonstante des PTn-Filters zur Berechnung der Beschleunigung.
- Filter Time Constant (jerk): Filterordnung und Filterzeitkonstante des PTn-Filters zur Berechnung des Rucks.
- Use Filter Ext 1: Auswahl, ob die Filterstufe (Position, Geschwindigkeit, Beschleunigung, Ruck) auf das externe Eingangssignal 1 angewendet werden soll.
- Use Filter Ext 2: Auswahl, ob die Filterstufe (Position, Geschwindigkeit, Beschleunigung, Ruck) auf das externe Eingangssignal 2 angewendet werden soll.
Ausgangswerte
- Position Raw: Position in mm.
- Position Filtered: Gefilterte Position in mm.
- Velocity Raw: Geschwindigkeit in m/s.
- Velocity Filtered: Gefilterte Geschwindigkeit in m/s.
- Acceleration Raw: Beschleunigung in m/s².
- Acceleration Filtered: Gefilterte Beschleunigung in m/s².
- Jerk Raw: Ruck in m/s³.
- Jerk Filtered: Gefilterter Ruck in m/s³.
- External Signal 1 Filtered: Externes Signal 1, auf das die gleichen Filterstufen angewendet werden können wie auf das Positionssignal.
- External Signal 2 Filtered: Externes Signal 2, auf das die gleichen Filterstufen angewendet werden können wie auf das Positionssignal.
Für den Algorithmus sind folgende HMI Controls für die Generierung eines Analytics Dashboards verfügbar:
Das Table Control oder List Control visualisiert alle Ausgangswerte.



Alternativ können mit dem Mapping Wizard kundenspezifische HMI Controls verknüpft werden.