Bandbreite, Abtastrate und Impedanz der Messeingänge
Mikrophone und IEPE-Sensoren (Körperschall, Beschleunigungen) sind hochdynamische Sensoren, die einen Messeingang mit ausreichend hoher Bandbreite und hoher Abtastrate erfordern. Um eine Frequenz von bis zu 10 kHz erfassen zu können, ist eine Abtastrate mit mehr als zweifacher Signalfrequenz, besser aber fünffacher Signalfrequenz erforderlich. Das Messgerät muss also eine Bandbreite von deutlich mehr als 10 kHz besitzen und mit mindestens 20 kSps abtasten.
Üblicherweise wird die nutzbare Bandbreite bei einer Dämpfung von -3 dB angegeben werden (welche schon eine wesentliche Amplitudenverminderung darstellt, siehe Kapitel Analogtechnische Hinweise ‑ dynamische Signale, es ist also ein Messgerät mit höherer Bandbreite als 10 kHz zu verwenden.
Erst mit einer höheren Abtastrate von fSampling ≥ 5 fSignal wird eine deutlich bessere Amplitudenerfassung möglich, die nach Möglichkeit auch verwendet werden sollte.
Bei dynamischen Signalen im kHz-Bereich kann je nach Signalquelle die Eingangsimpedanz des Messgeräts (Kombination aus Widerstand und Kapazität) eine wichtige Rolle spielen. Ein hoher Eingangswiderstand und eine kleine Eingangskapazität sind optimal für eine geringe Belastung des Quellensignals.
Hinweis | |
Gerätedokumentation ist allein maßgebend Die Werte sind ggf. verkürzte Auszüge aus der jeweiligen Dokumentation, welche maßgeblich und zur detaillierten Analyse empfohlen ist. |
Einige Messtechnik-Klemmen mit Angabe der eingangsseitigen RC-Parallelschaltung:
Klemme | Messbereiche | Differentieller Eingangs-widerstand | Differentielle Eingangs-kapazität |
|---|---|---|---|
ELM3002-02x5/-4x5 | ≥±60 V | 10 MΩ | < 1nF |
ELM3002-03x5/-4x5 | <±60 V | 20 MΩ | < 1nF |
ELM3102-0100 | ±60 V | 485 kΩ | < 11nF |
ELM3102-0100 | <±60 V | 4,12 MΩ | < 11nF |
Beispielhafte Rechnung:
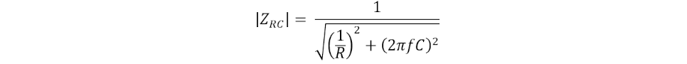
Die Impedanz der RC-Parallelschaltung lässt sich berechnen mit

Der Phasenwinkel φ wird berechnet mit
φ = tan-1( -2π ƒ R C )
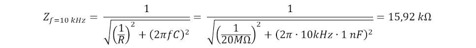
Für f = 10 kHz und einer ELM3002‑0305 im 150 mV Messbereich ergibt sich (mit 20 MΩ || << 1 nF parasitäre Kapazität, siehe technische Daten) eine Impedanz von

Sowie ein Phasenwinkel φ von

Der Eingang verhält sich also kapazitiv, der Strom eilt vor.
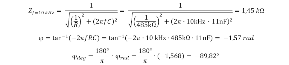
Wendet man gleiche Randbedingungen für eine ELM3102‑0100 für den 60 V Messbereich an, so verändern sich die Werte zu

Damit belastet die ELM3102‑0100 (Messbereich 60 V) im Vergleich zur ELM3002‑0305 die Quelle, z.B. ein Mikrofon, mit einer ca. 10-fach kleineren Impedanz. Nimmt man eine Quelle mit 100 Ω Innenwiderstand an, so liegt der systematische Amplitudenfehler für f = 10 kHz bei:

Die Messbandbreite dieser Messgeräte unterscheidet sich allerdings deutlich: Während die ELM3102‑0100 bei f = 5,3 kHz (-3 dB) liegt und damit das im Beispiel geforderte Eingangssignal nicht mehr sinnvoll erfassen kann, besitzt die ELM3002‑0305 eine Bandbreite von f = 21,7 kHz ( -3 dB) und ist für höherfrequente Signale bei gleichzeitiger Forderung einer präzisen Messung besser geeignet.
Messungen bei differentiellen Spannungen >5 V und hochohmigen Quellen
Der Innenwiderstand der Quelle bildet mit der Impedanz des Messeingangs einen frequenzabhängigen Spannungsteiler. Während bei Gleichspannung der Eingangswiderstand aus der Spezifikation angewendet wird, ist für dynamische Signale zunächst die Berechnung der Impedanz erforderlich. Diese geht dann in die Berechnung des Spannungsteilers ein.
Für einen direkten Vergleich beider Klemmen ist eine Signalfrequenz von 4 kHz in Kombination mit einer hochohmigen Quelle mit RSource = 1 kΩ gut geeignet. Für eine zu messende Spannung von ±30 V werden folgende Klemmen ausgewählt:
- ELM3002-0205 im ±60 V Messbereich (R = 10 MΩ, C = 1 nF)
- ELM3102-0100 im ±60 V Messbereich (R = 485 kΩ, C = 11 nF)
Es gelten in dieser Konstellation, dominierend durch die jeweiligen Kapazitäten C:
ZELM3002-0205 = 39,8 kΩ
ZELM3102-0100 = 3,62 kΩ
Daraus ergibt sich ein systematischer Amplitudenfehler von:

Fazit: Insbesondere, wenn bei hochohmigen Quellen dynamische Signale erfasst werden sollen, ist eine niedrige Eingangskapazität wichtig, um einen möglichst kleinen Amplitudenfehler zu erreichen.